


半導體,是指常溫下導電性能介于導體與絕緣體之間的材料,其具備一定的帶隙(Eg)。一般各占一半導體材料而言,認為合適而使用合宜的光激發能夠激發價帶(VB)的電子激發到導帶(CB),萌生電子與空穴對。

圖1.
半導體的帶隙結構概況圖
在研討中,結構表決性能,各占一半導體的能帶結構測試非常關鍵。經過各占一半導體的結構施行表征,可以經過其電子能帶結構對其光電性能施行解析。對于半導體的能帶結構施行測試及剖析,一般應用的辦法有以下幾種(如圖2):
紫外可見漫反射測試及計算帶隙Eg;
VB XPS測得價帶位置(Ev);
SRPES測得Ef、Ev以及欠缺態位置;
經過測試Mott-Schottky曲線獲得平帶電勢;
通電流通過負性計算獲得能帶位置.

圖2.
半導體的帶隙結構常見測試形式
一、紫外可見漫反射測試及計算帶隙Eg
1.1. 紫外可見漫反射測試
1)制樣:
環境測試著制做樣:往圖3左圖所示的樣品槽中參加數量適宜的BaSO4面子(因為BaSO4面子幾乎對光沒有借鑒,可做環境測試),而后用蓋玻片將BaSO4面子壓實,要得BaSO4面子補充整個兒樣品槽,并壓成一個最簡單的面,來不得凸出和向下陷進去,否者會影響測試最后結果。
樣品測試著制做樣:若樣品較多完全可以補充樣品槽,可以直接將樣品補充樣品槽并用蓋玻片壓平;若樣品測試不夠補充樣品槽,可與BaSO4面子混合,制成一系列等品質分數的樣品,補充樣品槽并用蓋玻片壓平。

圖3.
紫外可見漫反射測試中的制樣過程圖
2)測試:
用積分球施行測試紫外可見漫反射(UV-VisDRS),認為合適而使用環境測試樣(BaSO4面子)測試環境基線(挑選R百分之百標準樣式),以其為background測試基線,而后將樣品放入到樣品卡槽中施行測試,獲得紫外可見漫反射光譜。測試完一個樣品后,從新制樣,接著施行測試。
1.2. 測試數值處置
數值的處置主要有兩種辦法:截線法和Tauc plot法。截線法的基本原理是覺得半導體的帶邊波長(λg)取決禁帶寬度Eg。兩者之間存在Eg(eV)=hc/λg=1240/λg(nm)的數目關系,可以經過求取λg來獲得Eg。因為到現在為止很少用到這種辦法,故不做周密紹介,以下主要來紹介Taucplot法。
具徒手體操作:
1)普通經過UV-Vis DRS測試可以獲得樣品在不一樣波長下的借鑒,如圖4所示;

圖4.
紫外可見漫反射圖
2)依據(αhv)1/n = A(hv - Eg),那里面α為吸光指數,h為普朗克常數,v為頻率,Eg為半導體禁帶寬度,A為常數。那里面,n與半導體類型有關,直接帶隙半導體的n取1/2,間接帶隙半導體的n為2。
3)利用UV-Vis DRS數值作別求(αhv)1/n和hv=hc/λ, c為光速,λ為光的波長,所作圖如圖1.5所示。所得譜圖的縱坐標普通為借鑒值Abs,α為吸光系數,兩者成正比。經過Tauc plot來求Eg時,無論認為合適而使用Abs仍然α,對Eg值無影響,可以直接用A代替α,但在論文中應解釋明白。
4)在origin中以(αhv)1/n對hv作圖,所作圖如圖5所示ZnIn2S4為直接帶隙半導體,n取1/2),將所獲得圖形中的直線局部外推至橫坐標軸,相交的點即為禁帶寬度值。

圖5. Tauc plot圖

圖6. W18O19以及Mo夾雜W18O19 (MWO-1)的紫外可見漫反射圖和Tauc plot圖

圖7. ZnIn2S4(ZIS)以及O夾雜ZIS的紫外可見漫反射圖和Taucplot圖
圖6與圖7所示是文獻中經過測試UV-VisDRS計算相應半導體的帶隙Eg的圖。
二、 VB XPS測得價帶位置(Ev)
依據價帶愛克斯射線光電子能譜(VB XPS)的測試數值作圖,將所獲得圖形在0 eV近旁的直線局部外推至與水準的延長線相交,相交的點即為Ev。
如圖8,依據ZnIn2S4以及O夾雜ZnIn2S4的VB XPS圖譜,在0 eV近旁(2 eV和1 eV)發覺有直線局部施行延長,并將小于0 eV的水準局部延長獲得的相交的點即作別為ZnIn2S4以及O夾雜ZnIn2S4的價帶位置對應的能+羭縷(1.69 eV和0.73 eV)。如圖9為TiO2/C的VB XPS圖譜,同理可獲得其價帶位置能+羭縷(3.09 eV)。

圖9.
TiO2/C
HNTs的VB XPS圖
三、SRPES 測得Ef、Ev以及欠缺態位置
圖2.3所示是文獻中經過測同步輻射光電子發射光譜(SRPES)計算相應半導體的Ef、Ev以及欠缺態位置。圖2.3a是經過SRPES測得的價帶結構譜圖,經過做直線局部外推至與水準的延長線相交,獲得價帶頂與費米能量級的能+羭縷差值(EVBM-Ef);該譜圖在接近0 eV處(費米能量級Ef)為欠缺態的結構,如圖2.3b所示,取將積分平面或物體表面的大小一分為二的能+羭縷位置定義為欠缺態的位置。圖2.3c是測得的二次電子的截至能+羭縷譜圖,加速能+羭縷為39 eV,依據計算加速能+羭縷與截至能+羭縷的差值,即可獲得該材料的功函數,進一步獲得該材料的費米能量級(Ef)。

圖10.
W18O19以及Mo夾雜W18O19 (MWO-1)的SRPES圖以及其帶隙結構概況圖
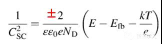
四、經過測試Mott-Schottky曲線獲得平帶電勢
4.1. 測試辦法
在一定液體濃度的Na2SO4溶液中測試Mott-Schottky曲線,具體的測試辦法如下所述:
配備布置一定液體濃度的Na2SO4溶液;
將一定量待測樣品散布于一定比例的酒精與水混合液中,超聲散布后,將導電玻璃片浸入(注意扼制浸入平面或物體表面的大小)或將一定量樣品滴在一定平面或物體表面的大小的導電玻璃上,待其干燥后可施行測試(此步驟制樣必須要平均,盡有可能薄。樣品超聲前可先施行研磨,超聲時可在酒精溶液中加十分細致量乙基纖維素或Nafion溶液);
三電極整體體系測試,電解液為Na2SO4溶液,參比電極為Ag/AgCl電極,對電極為鉑網電極,辦公電極為具要等待測樣品的導電玻璃;
在一定電壓范圍(普通為-1 ~ 1 V vs Ag/AgCl)施行測試,變更測試的頻率(普通為500、1000以及2000 Hz),獲得相應的測試曲線。具體的設置界面如圖11和圖12所示。

圖11.
測試設置界面1

圖12.
測試設置界面2
4.2. 測試數值處置
測試的數值改換為txt款式,依據測得的數值可計算半導體材料的平帶電勢。對于半導體在溶液中形成的空間電荷層(耗盡層),可用以下公式計算其平帶電勢:

斜率為負時對應p型半導體,斜率為正時對應n型半導體。因為電極的電容由雙電層電容(Cdl)以及空間電荷電容(Csc)兩局部組成,且

不過普通Csc < 圖13.
保留的txt數值 圖14.
Mott-Schottky曲線圖 圖15與圖16所示是文獻中經過測試Mott-Schottky曲線獲得半導體的平帶電位(導帶位置Ev)。如圖15,依據Co9S8和ZnIn2S4的Mott-Schottky曲線圖,可以獲得Co9S8和ZnIn2S4的平帶電位作別為
-0.75 eV和 -0.95 eV,因為斜率為正時對應n型半導體,Co9S8和ZnIn2S4均為n型半導體,可以覺得其導帶位置為-0.75
eV和 -0.95 eV。如圖16為P-In2O3和C-In2O3的Mott-Schottky曲線圖,同理可獲得其平帶位置。 圖15.
Co9S8和ZnIn2S4的Mott-Schottky曲線圖 圖16.
P-In2O3和C-In2O3的Mott-Schottky曲線圖 五、經過計算獲得能帶位置 對于純的單二分之一導體,可依據測得的禁帶寬度(0.5Eg)來計算其導帶和價帶位置: 價帶:EVB = X - Ee + 0.5Eg 導帶:ECB = X - Ee - 0.5Eg 那里面,X為半導體各元素的電負性的幾何均勻值計算的半導體的電負性,Ee為游離電子在氫標電位下的能+羭縷。 值當注意的是,在半導體存在欠缺還是與其他材料復合乎時常,實際的帶隙結構計算有可能存在偏差,普通經過面前提到的測試辦法與該計算接合運用,獲得比較合理的測試最后結果。 文章來自:www.qqqfa.com(愛彼電路)是精密PCB線路板生產廠家,專業生產微波線路板,rogers高頻板,羅杰斯電路板,陶瓷電路板,HDI多層電路板,FPC軟硬結合板,盲埋孔電路板,鋁基板,厚銅電路板 


